心臟代謝相關疾病患者補充輔酶Q10對血壓的劑量與效應關係:建議強評比系統(GRADE)-系統性文獻回顧與統合分析~
【發表日期】2022年9月20日
【緣起/ 前言】
過去的研究已知輔酶Q10(CoQ10)補充劑對血壓有益,但是在心血管代謝異常上補充輔酶Q10對血壓調解的最佳劑量尚不明確,因此本研究要評估輔酶Q10與血壓的劑量效應關係。
【文獻選擇說明~出處、年份、研究方式、結果/結論】
根據《Advances in Nutrition》在2022年刊登的一篇系統系文獻回顧與統合分析(systematic review and meta-analysis ),截止至2022年四月21日在三個資料庫(PubMed/MEDLINE、Embase 和Cochrane )進行全面的文獻檢索,共收納了26項研究,1831名受試者。使用限制性立方曲線模型評估CoQ10 與血壓之間的非線性劑量與效應關係。
得到以下結果:
(1)心臟代謝相關疾病患者補充輔酶Q10可以顯著下降4.77mmHg收縮壓(95% CI:-6.57,-2.97)。
(2)在糖尿病及血肪異常者至少長達12周以上補充輔酶Q10對降低收縮壓的效果更明顯
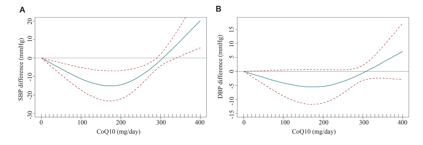
(3)補充輔酶Q10跟收縮壓的U形劑量反應關係中觀察到每日補充100-200毫克輔酶Q10可大大降低收縮壓(χ2 = 10.84, Pnonlinearity = 0.004)。
※每日補充100-200毫克Q10可以有效降下收縮壓,但無法改善舒張壓(綠色實線為平均曲線、紅色虛線是95%信賴區間

【文獻連結】
範例:研究刊登在《Advances in Nutrition》,連結如下: https://academic.oup.com/advances/article/13/6/2180/6706849
文章主題:Dose-Response Effect of Coenzyme Q10 Supplementation on Blood Pressure among Patients with Cardiometabolic Disorders: A Grading of Recommendations Assessment, Development, and Evaluation (GRADE)-Assessed Systematic Review and Meta-Analysis of Randomized Controlled Trials
以上資料由林惠敏營養師匯整
